简介
通常按照问题的实际情况选取适当的参考体。例如,当火箭从地球表面起飞时,宜用地球做参考体;当航天器成为绕太阳运动的人造行星时,宜用太阳做参考体。由此可见,一切力学现象只能相对于所选定的参考系进行观察、描述和研究。在同一参考系上可有不同的参考坐标系,它们对同一个物体的位置坐标的值虽然不同,但有确定的几何关系联系着。为了能对物体运动作定量描述,常直接引用参考坐标系。
按牛顿的观点,绝对运动是相对于绝对静止参考系而言的。这就是说,自然界中存在一绝对静止的空间,即绝对空间。根据近代的观点,绝对空间并无客观意义。
19世纪的物理学家为了解释J.麦克斯韦的电磁理论与牛顿力学中相对性原理的矛盾,曾假设空间充满一种没有质量且不流动的弹性介质“以太”(ether),电磁波被看成“以太”的振动。相对于“以太”静止的参考系就代表绝对静止的参考系。在此参考系中的电磁现象具有特殊性质,从而导致惯性坐标系对于描述电磁现象是不均等的论点。
1887年A.迈克耳孙和E.莫雷发表的著名的实验结果,表明“以太”效应是不能检测到的。此后其他一些实验也表明不能找到静止参考系。因此,爱因斯坦指出,绝对静止是根本没有的。
爱因斯坦在1905年发表的著名论文《论动体的电动力学》中提出了狭义相对论两条基本假设,即相对性原理和光速不变性。这两条假设是狭义相对论的基础,许多牛顿力学所不能解释的现象,可用狭义相对论精确地描述。爱因斯坦的相对性原理指出:包括力学、电动力学、光学等在内的物理学各定律,在所有惯性参考系中都是相同的。即惯性坐标系对描述物理现象是平等的,没有特殊的绝对静止的参考系,绝对空间是无意义的2。
惯性参考系
对惯性定律成立的参考系,简称惯性系。经典力学的相对性原理指出,一切力学规律在相互作匀速运动而无转动的参考系中都是相同的。在一个作匀速直线运动的密封座舱中的观察者,无法通过内部的力学实验来判断座舱相对于恒星是静止的还是在作匀速运动的,只有朝窗外看才能知道,但仍然无法判断究竟是座舱还是恒星在运动。
另一方面,参考系在力学上的这种等效,并非对任意运动的参考系都成立。在颠簸运行的火车里和在作匀速运动的火车里,力学运动并不服从同样的定律。在精确地相对于地球运动时,运动方程必须考虑地球的转动。一个参考系,如果自由质点在其中作非加速运动,就称为惯性参考系或伽利略参考系,所有相互作非加速运动而无转动的参考系都是惯性参考系。
判断一个特定参考系是否惯性系,取决于能以多大的精确度去测出这个参考系的微小加速度效应。在地面上的一般工程动力学中,由于地球的自转角速度较小,地面上一点的向心加速度很小,可取与地球固连的坐标系作为惯性系。在一些必须把地球自转计算在内的问题中,如研究陀螺仪表的漂移时,可采用地球中心坐标系作为近似的惯性系,其原点与地球中心重合,轴指向所认定的恒星。天文学中则采用黄道坐标系或银道坐标系作为惯性系。地球表面赤道上一点的向心加速度为3.4cm/s2,地球绕太阳公转的向心加速度为0.6cm/s2,太阳绕银河系中心转动的向心加速度约为3×10-8cm/s2。从以上数据可看出所选取的惯性系的近似程度2。
非惯性参考系
对惯性参考系作加速运动或转动的参考系,简称非惯性系。对惯性系以不变的加速度a在运动的非惯性系,称为加速运动参考系。在此参考系中静止的物体必有力F=ma作用着。在引力场中,物体都受引力作用,因此对引力场中惯性系静止的物体也受引力作用。若另有一非惯性系,它对惯性系的加速度和这引力产生的加速度相同,则在此非惯性系中的观察者并不觉得有引力场,也不知自己有加速运动,这就是爱因斯坦的“升降机”,说明引力场和非惯性系是等效的。
对惯性参考系转动的参考系称为转动参考系。假定惯性系静止,则与转动参考系固连的刚体运动,就是转动参考系对惯性系的运动。对转动参考系以速度vr和加速度ar运动的质点,按照点的复合运动公式,得质点对惯性参考系中的坐标系的加速度:
a=a0+ar+2ω×vr+ε×r′+ω×(ω×r),
式中a0为转动坐标原点的加速度;ar为质点相对于转动参考系的加速度;ω和ε分别为转动坐标系的角速度和角加速度;r和r′分别为质点对惯性坐标系的原点和转动坐标系的原点的矢径。质点的相对运动方程可以表示为:
mar=F+(-2mω×vr)+[-mω×(ω×r)] +(-ma0-mε×r′) (1)
上式右边第二项是科里奥利惯性力(简称科氏力);后三项是牵连惯性力,其中-mω×(ω×r)是离心惯性力。科氏惯性力对相对运动不作功,可从科氏惯性力恒和路径垂直看出。因此科氏惯性力不能用势函数表示。若转动坐标原点不动(a0=0),并以等角速度ω(ε=0)绕Z轴转动,选Z′轴与Z轴重合,则式(1)成为:
mar=F+(-2mω×vr)+[-mω×(ω×r)] (2)
在研究地球自转对地面邻近物体运动的影响时,常用赤道坐标系。因地球绕太阳公转角速度是地球自转角速度的1/365,故可略去。选定Oxyz为惯性坐标系,Z轴与地球自转轴重合,Oxy平面重合于赤道,X轴指向遥远的恒星。地球自转一周需23小时56分4.1秒,即86164.1太阳秒,故ω=2π/86164.1s-1=7.2921×10-5s-1。研究太阳系各行星的运动要用黄道坐标系。为研究天体现象与观察者位置的相互关系还可引入地平坐标系,即Z轴指向观察者的天顶。Oxy即地平面,X轴可选指向南,Y轴向东。研究星系力学和星系结构则须采用以银河系平均平面为基本面的银道坐标系2。
参考系和相对性
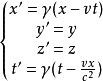
经典力学相对性原理是:一切力学定律在一切惯性系中都是相同的。各惯性坐标系是用伽利略变换联系起来的2。设有两个参考系S(Oxyz)及S'(O'x'y'z'),坐标轴相互平行且轴x与轴x'重合,S'相对S沿x轴以u做等速直线运动,且S系与S'系中各处有结构完全相同的时钟,记录的时刻为t与t',并以两坐标原点O及O'重合时刻为计时起点,则可得某质点m的运动在两参考系中的时空变换关系:
x'=x-ut y'=y z'=z t'=t
上式即为伽利略(坐标)变换。如果将各式对时间求导,则得速度变换式:
vx'=vx-u vy'=vy vz'=vz
因此,如果S是惯性系,即不受外力作用的物体在其中做等速直线运动,则根据上式,它在S'中也一定做等速直线运动,所以S'也是惯性系。如果将各式再一次对时间求导,则得加速度变换关系式:
ax'=ax ay'=ay az'=az
亦即a'=a。因此如果S是惯性系,即在其中F=ma成立,则在S'中也有F=ma',所以S'也是惯性系3。伽利略变换表明,加速度是不变量。此外,在经典力学中的力F和质量m都是不变量。因此,牛顿定律对伽利略变换是不变的,即一切力学定律在以伽利略变换联系起来的两个惯性系中都是相同的,这就是经典力学的相对性原理。
狭义相对性原理可表述为:一切物理定律在以洛伦兹变换联系起来的两个惯性系中具有不变性。这个原理比伽利略不变性更为普遍,它把力学定律、电磁和光的定律以及原子物理的定律等都包括在内。洛伦兹变换式为:

式中γ=[1-(v/c)2]-1/2,c为真空中的光速,v为惯性系S'(O'x'y'z')相对于S(Oxyz)的速度值,其方向沿X轴,大小与光速可以比拟。这里的时间t′既是坐标x也是时间t的函数。因此,时间不能认为是对一切观察者都相等的绝对量,而是依赖于观察者位置和速度的相对量。这里的空间、时间都是相对的,时间与空间紧密相关。洛伦兹变换中的这种时空关系导致了“四维时空”的概念,其中x、y、z和t起着类似而不尽相同的作用。至此历史上麦克斯韦电磁场方程和伽利略不变性之间的矛盾便被狭义相对论圆满地解决了。
广义相对性原理认为所有参考系,不论是惯性系还是非惯性系,都同样适合表达自然界定律,但需要用协变张量计算,把自然界定律表示成一个在任意坐标变换下保持不变的数学形式,这条原理又称广义协变性原理。据此,物理定律对洛伦兹变换也是协变的。在广义相对论中,为了包括万有引力,时间流逝的速度不仅与物体的运动速度有关,而且还与物体所受到的引力场有关。在引力场较大的地方,如在太阳附近,时间的流逝速度将变慢2。

参考系和等效原理
惯性质量与引力质量的相等称为等效原理。这个原理导致一个结论:一个存在着引力场的惯性系和另一个作加速运动的非惯性系是等效的,即内部的物理实验不能区分这两种参考系,这就是爱因斯坦等效原理。以爱因斯坦“升降机”为例,若升降机在1g的均匀引力场中静止;另外,又在自由空间中以9.81m/s2的加速度向上作匀加速运动,由于惯性质量和引力质量相等,在上述两种情况中所作的同样的内部物理实验结果相同。里面的观察者既可认为升降机静止,且机厢内存在引力场;又可认为机厢内不存在引力场,只是升降机以9.81m/s2的加速度向上运动。
惯性质量和引力质量的等效导致另一种情况。若一物体在均匀引力场中自由下落,其中的质点,由于惯性质量和引力质量相等,其惯性力和引力平衡。因此,同均匀引力场中自由降落的物体相固结的非旋转参考系和自由空间的惯性系是等效的。在环绕地球飞行的宇宙飞船中,“失重”现象就是由于引力和离心惯性力平衡所引起的。
惯性质量和引力质量的相等常称为弱等效原理,爱因斯坦的等效原理则称为强等效原理。等效原理是广义相对论的基础2。


扫码下载APP
科普中国APP
科普中国
科普中国