简介
利用材料塑性变形过程中最大剪应力迹线的性质,求解塑性力学边值问题的一种方法,主要用于求解刚塑性材料的平面应变问题。
滑移线基本介绍
材料在屈服时,试样表面出现的线纹称为滑移线,与最大切应力的迹线重合,所以最大切应力迹线又称滑移线。
滑移线理论是二十世纪20年代至40年代间,人们对金属塑性变形过程中,光滑试样表面出现 "滑移带"现象经过力学分析,而逐步形成的一种图形绘制与数值计算相结合的求解平面塑性流动问题变形力学问题的理论方法。这里所谓"滑移线"是一个纯力学概念,它是塑性变形区内,最大剪切应力等于材料屈服切应力(k)的轨迹线。
文献解释
1、2节点相对位置判断构件接触碰撞点的轨迹称为滑移线.主节点所在的一侧称为主线主线上相邻节点之间的线段称为主段。
2、在塑性状态平面应变问题中,平面上每一点都存在两个相交的剪切破坏面,把各点的剪切破坏面连接起来,就可以得到两族相互正交曲线α和β,即称为滑移线。滑移线法按照其性质和边界条件,求出塑性区的应力和位移速度的分布,最后求出极限荷载。
3、滑移带晶体材料的滑移面与晶体表面的交线称为滑移线,滑移部分的晶体与晶体表面形成的台阶称为滑移台阶。由这些数目不等的滑移线或滑移台阶组成的条带称为滑移带。
4、塑料变形体内各点最大切应力的轨迹称为滑移线。由于最大剪应力成对正交因此滑移线在变形体内成两族互相正交的线网组成所谓滑移线场。这样的两组曲线在X、Y平面上形成一个曲线网称为滑移线。当物体处于屈服状态时,各点的最大切应力达到K值,塑性变形就沿着这些曲线进行滑移。
滑移线法
利用材料塑性变形过程中最大切应力迹线的性质,求解塑性力学边值问题的一种方法,主要用于求解刚塑性材料的平面应变问题。金属材料的塑性变形是金属颗粒在最大切应力方向的相对滑移引起的,滑移的结果形成滑移带,它和最大剪应力迹线是重合的,所以最大切应力迹线又称滑移线。塑性变形体内的滑移线场是两族正交的曲线:一族称为α线,另一族称为β线。图1示出受内压的圆孔周围的滑移线场,α线和β线分别由不同颜色标出。

要点
它避开非线性的塑性本构关系,而利用塑性变形过程中的特点,将问题转化为建立滑移线场,然后再由滑移线的性质找出应力分布规律。在刚塑性材料的平面应变问题中,平均正应力σ为两个正应力、之和的一半,而且最大剪应力的值等于剪切屈服极限k,k为常数。因此,只要找出平均正应力σ,便可由σ和k利用微元体的平衡条件,确立正应力分量、和剪应力分量。
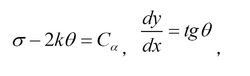
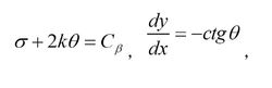
在滑移线法中,通常假设材料是理想刚塑性材料,而且体积不可压缩。以θ表示α族滑移线与x轴正向的夹角,则反映平均正应力σ和θ角之间关系的公式为:
沿α线

沿β线

式中沿每一条
线为一常数;沿每一条
线为一常数。同族内不同滑移线的常数可以不同。上式是德国的H.亨奇于1923年利用塑性平面问题的平衡方程和屈服条件导出的,故称亨奇应力方程。
性质
从亨奇应力方程可以推出滑移线的如下性质:①滑移线上平均正应力的变化和滑移线的转角成正比;②在任何两条同族滑移线间,平均正应力σ和角θ沿另族滑移线的变化都是常值;③如果滑移线的某些线段是直线、则直线上的σ、θ以及应力分量、、都是常值;④如果沿某一滑移线移动,则另一族滑移线在交点处曲率半径的变化等于沿该线所通过的距离;⑤位于两条同族滑移线间的直线滑移线段的长度相等。
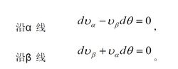
滑移线场是通过平衡方程和屈服条件建立的,因而这样求出的、、是满足平衡条件的静力解。为了找到完全解,还要在滑移线场中找出满足位移速度(简称速度)边界条件的速度规律。H.盖林格于1930年根据刚塑性的本构关系和材料的不可压缩条件证明,速度方程的特征线和滑移线是重合的。如以和分别表示质点沿α族和β族滑移线的位移速度,则速度方程式为:

因此,用滑移线法不仅能计算塑性变形体内任一点的应力分量,而且也能计算速度分量,从而得到问题的完全解1。
解题的步骤
①根据边界上的受力条件,确定边界上的σ和θ值,进而确定边界及两个不同塑性区域的交界线附近的滑移线场;②按亨奇应力方程找出塑性区内任一点的σ和θ值,进而找出任一点的
、
和
;③根据速度边界条件按速度方程求出
和
从而找出塑性变形的规律。
在刚塑性的平面应变问题中,经常遇到应力间断和速度间断问题。在刚塑性体形成塑性区的过程中,受拉区和受压区的交界线便是应力间断线(图2),它是两条同一名称滑移线(图2中
和
或
和
为同一名称的滑移线)的角平分线。当外载荷达到某极限值后,刚塑性物体在塑性区开始产生塑性流动,而在刚性区则没有变形,刚性区和塑性区的分界线就是一条速度间断线。它是滑移线或者是滑移线的包络线。速度沿速度间断线的切线分量发生间断,速度间断量沿速度间断线不变,而在该线上应力则保持连续;但垂直于速度间断线的速度分量连续。在塑性区内部同样可以有速度间断线。

在平面应力和轴对称问题中,也有相应的滑移线场理论。滑移线法已被广泛应用于构件的极限设计、金属塑性成型以及土力学。近来还有些学者研究了考虑强化效应的滑移线场问题。计算机也已被用于求解滑移线场的问题。2

扫码下载APP
科普中国APP
科普中国
科普中国