诺奖研究告诉你熬夜危害有多大!科普中国-科普融合创作与传播 2017-12-18 |
北京时间10月2日,2017年诺贝尔生理学或医学奖授予了美国遗传学家杰弗里·霍尔(Jeffrey C. Hall), 迈克尔·罗斯巴什(Michael Rosbash)以及迈克尔·杨(Michael W. Young),以表彰他们发现控制昼夜节律的分子机制。简单来说就是在分子层面发现了控制生物钟的机制。
以人体为例,一系列生理活动的背后都有节律调节机制的影子。比如,凌晨体温最低,夜间分泌褪黑素促进睡眠,而白天则具有最快的反应力、合作能力等等。
自古以来,人类遵从地球的自转周期,与自然界中的众多生物一样,日出而作,日落而息,相关的昼夜节律调节机制也随着漫长的进化历程逐渐固定下来。简单来说,人类已经形成了适应如今地球自转、公转周期的生物钟。入夜,困倦自然袭来,一觉睡到天亮,顿觉神清气爽,随即开始一天的工作,如此循环往复。
不过,在现代人类开始大规模应用电能之后,漫漫长夜变得不再孤寂清冷,取而代之的是熬夜加班、伏案夜读乃至光怪陆离的深夜娱乐。我们在有意无意间扰乱了千百年来业已成型的生物钟,破坏了人体的昼夜节律。上午睡到日上三竿,晚上熬夜修仙已经成为很多现代年轻人的标准作息模式。
不管是学生还是上班族可能会有同样的经验:每逢假期,总是希望把因为每天繁忙的工作学习而错过的精彩影视剧,在假期全部补完,结果难免经常熬夜追剧。繁忙又孤独的现代人,有太多的理由熬夜:写不完的功课,做不完的工作,看球,追剧,抑或是摆弄手机看朋友圈。下面,我们就借着今年诺贝尔奖的话题,好好说说熬夜的危害以及科学睡眠的方式。
熬夜的危害
1):影响皮肤质量。使得皮肤变得干燥,容易产生皱纹,色斑,暗疮等问题。
在我们的睡眠中会分泌各种荷尔蒙,例如成长荷尔蒙,促肾上腺皮质激素ACTH,皮质醇,退黑激素等,其中在睡眠的黄金时间:晚上10点至翌日的深夜2点之间主要分泌的荷尔蒙种类是成长荷尔蒙。
成长荷尔蒙能够修复受损的细胞,促进新细胞的生成。在成长荷尔蒙所发挥的绝大作用中有一小部分起着维护肌肤质量的美容作用,因此如果我们常常熬夜,也就常常对成长荷尔蒙大量分泌的时间段产生影响,经过一段时间,表现在外观上便是肌肤质量下降,出现色斑,暗疮等肌肤问题。因此不熬夜,早睡,其实也就相当于在晚上无声无息的睡眠中,敷了一张天然面膜。
2):影响免疫能力。体质变差,容易生病,容易变胖。
同样是原因1中提到的成长荷尔蒙,因为有修复受损细胞,并且促进新细胞生成的功能,也被称为“重返年轻的荷尔蒙”,如果长期熬夜,成长荷尔蒙分泌不足也影响免疫能力的下降,导致体质变差,容易生病。
同时在睡眠中,成长荷尔蒙和皮质醇有着燃烧脂肪的功效。如果长期熬夜,这两种荷尔蒙的分泌量减少,也会导致不必要的脂肪在人体内堆积,久而久之便会引起肥胖的问题。
3):导致记忆力低下,同时使情绪变得悲观。
在人体的睡眠中有2种相互关联、相互交替的不同睡眠模式:一种称为REM睡眠,又称为异相睡眠或者快波睡眠,另一种称为NO-REM睡眠,又称为慢波睡眠,其中REM睡眠又被称为身体的睡眠(NO-REM睡眠被称为大脑的睡眠),在REM睡眠中,我们进行记忆的固定、删除、整理以及日间各种信息的整理,如果常常熬夜,就会在不知不觉中减少REM睡眠的时间,因此在REM睡眠中进行的对于记忆的各种整理工作便会减少,时间一长,就逐渐演变为记忆力下降的问题。同时也会附带引起各种情绪上的问题。
熬夜的危害想必大家已经通过各种渠道,有了一定的了解,因此除了上面的内容之外,笔者也不再赘述。关于熬夜,其实生活中我们还有一些容易进入的睡眠误区,一旦进入睡眠误区,反而对我们的身体损伤更加大,在这里向大家介绍一下:
常见的睡眠误区
1:关于补觉
大家一定有这样的经历,结束了一周疲劳的工作或者学习,打算在周末把这一周没有睡满的觉全部补上的心态。这种方法是否好呢?还是反而得不偿失呢?
其实在美国的公共科学图书馆(PLoS)在2014年的研究结果表明,“睡太多”也有形成精神疾病症状的可能性,在对15岁~85岁的2万4千人进行睡眠调查后,发现试验参加人员的平均睡眠时间是7小时13分,在其中10小时以上睡眠时间的人占2.7%,通过更加详细的分析后发现,睡眠时间未满7小时的人容易发生慢性疾患,但是睡眠过多的人,发生精神疾患的可能性更高。
或许我们自己也已发现,有的时候睡得太多,反让一天的精神状态变得糟糕,因为睡太多而错过了太多的美好时光,反而让自己心里会产生一点小小的遗憾甚至负罪感,当然可以想象,长时间持续这样的生活状态会对自己精神造成何种影响。因此补觉有时可能导致适得其反的效果,大家应该尽量避免一天的睡眠时间超过10小时。
2:错误的入睡方法:导致肥胖。
因为工作学习上的压力,有时候人们并不是不想睡觉,而是由于精神或身体上的压力,出现失眠的情况。而此时有些人通过听音乐帮助入睡。如果通过歌曲来助睡,特别是带有歌词的歌曲,反而会引起大脑的活性化,导致睡眠的状态一直停留在浅睡眠,影响荷尔蒙的分泌,变为促进肥胖的一个原因。
另外有人喜欢开着灯睡觉,光线的作用在无形中搅乱了人体的生物钟,打乱甚至影响了睡眠中进行的各种只有在夜间进行的荷尔蒙的分泌,也在一定程度上导致肥胖的问题出现。
因此,与其说是听着歌曲入眠,还不如说,在早上通过自己喜欢的歌曲,让自己自然地睁开双眼,开始一天的生活。同时建议换一条遮光性好一点的窗帘,保证自己的卧室,在夜晚尽量不要受到光线的影响。让自己有一个一夜无梦的好觉。
最后,关于孩子的熬夜问题,也简单介绍一下:
就以我们的邻国日本为例,日本的学者也对儿童的睡眠问题进行了大量研究。
首先,他们发现日本儿童的睡眠时间相比于欧美国家来说有睡眠不足的倾向。日本儿童的平均睡眠时间是7个小时,而美国要比日本长30分钟,一些欧洲国家要比日本长90分钟,其中瑞士更是要长150分钟。
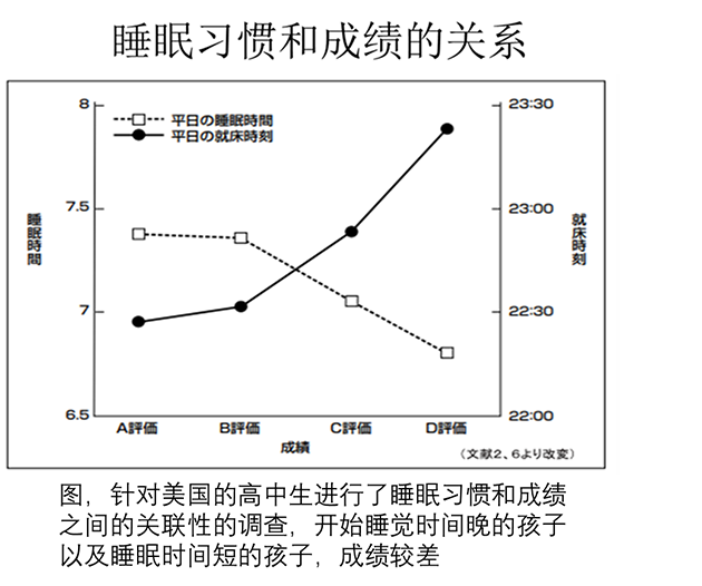
熬夜的问题,研究人员曾经在美国的大学中作过学习成绩和睡眠时间的调查。发现越晚睡觉,同时睡觉时间越短的孩童,学习成绩越差。东京的教育研究所对日本中校学生的调查也显示,调查对象的孩子中,有不安烦躁问题的孩童,半数以上都是平时有12点以后睡觉的习惯。相反,平时没有不安、烦躁问题的中小学生中,晚上有熬夜习惯的比例是25.8%。因此可以发现,熬夜对孩子的心理状态也有一定的影响。
下图反映了儿童的入睡时间、睡眠长度和孩子成绩的一个相关性。从图中可以发现,睡眠时间越短的孩子(见图中□的曲线),获得D评价(差成绩)的倾向变大。睡眠时间越晚(图中■的曲线),获得D评价(差成绩)的倾向变大。
熬夜,包括睡眠不足,打乱了孩子的生理规律,有可能会延缓孩子的认知,情绪的发育,因为自律神经的失调,体温低,则会引起各种身体上的不适,进而导致孩子不愿上学,提不起兴趣,并有可能会引起身体上的肥胖等问题。
因此,为了孩子能够更加茁壮地成长,除了各种兴趣的培养以外,良好的生活习惯,包括睡眠习惯,(早睡,不熬夜,早起,规律的作息,充足的睡眠)是从小就要培养的一个大课题。
保证规律的作息,尤其是充足的睡眠,有助于孩子拥有一个健康的心态和身体来面对每天的挑战。如果为人父母,自己能够规律作息,也会给孩子一个以身作则的正面形象。
昼夜颠倒、睡眠不足的生活方式对身体健康有着多方面损害,却总是得不到现代人的足够重视。如今连诺贝尔奖都授予了昼夜节律背后的分子机制,为生物钟这一概念的科学性站台背书,我们又怎能逆天而行,继续走在名为修仙实则渡劫的不归路上呢?
参考文献:
1:【The Risks of Sleeping “Too Much”. Survey of a National Representative Sample of 24671 Adults (INPES Health Barometer)】Damien Léger ,François Beck,Jean-Baptiste Richard,Fabien Sauvet,Brice Faraut. http://journals.plos.org/plosone/article?id=10.1371/journal.pone.0106950
2:【子どもの睡眠と脳の発達 -睡眠不足と夜型社会の影響-】大川匡子 著
https://www.jstage.jst.go.jp/article/tits/15/4/15_4_4_34/_pdf
责任编辑:科普云
上一篇:生物嵌合体:身体中另一个“他”
科普中国APP
科普中国微信
科普中国微博

最新文章
-
为何太阳系所有行星都在同一平面上旋转?
新浪科技 2021-09-29
-
我国学者揭示早期宇宙星际间重元素起源之谜
中国科学报 2021-09-29
-
比“胖五”更能扛!我国新一代载人运载火箭要来了
科技日报 2021-09-29
-
5G演进已开始,6G研究正进行
光明日报 2021-09-28
-
“早期暗能量”或让宇宙年轻10亿岁
科技日报 2021-09-28
-
5G、大数据、人工智能,看看现代交通的创新元素
新华网 2021-09-28








